2022/04/07 做题记录

P3232

因为边数太多,可以对点高斯消元求出每个点经过次数的期望,于是一条边经过次数的期望就是 audu+avdv\frac{a_u}{d_u} + \frac{a_v}{d_v},(a 是经过次数的期望,d 是度数,当然 n 这个点不能计入贡献)。

然后直接排序完贪心就行。

code: /code/2022.4.7/P3232.cpp

P4035

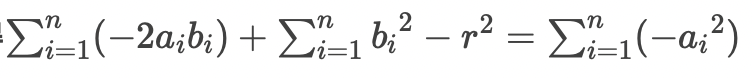
aia_i 为球上一点的坐标,bib_i 为球心坐标,rr 为球的半径,可以得到 n+1n+1 个化简后为 Screen Shot 2022-04-10 at 10.07.42 的方程,可以把 i=1nbi2r2\sum_{i=1}^n b_i^2 - r^2 整体看成一个未知数,于是直接高斯消元就行。

code: /code/2022.4.7/P4035.cpp